Olin oppivinani eilen, että
Liitteet:
equ.png [ 1.27 KiB | Katsottu 4289 kertaa ]
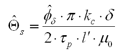
Ja ihan itse johdin tuon. Asiaan perehtymättömille voidaan vinkata, että tuo iso theeta symboloi current linkagea ja alaindeksillä s viitataan staattoriin. Ei tuo sähkömoottorien suunnittelu kyllä oikein miulta suju, onneksi onkin vain sivuaineen kursseja
